-
Notifications
You must be signed in to change notification settings - Fork 2
The Price Weller Pinkel Dynamical Instability Vertical Mixing Algorithm
The Price-Weller-Pinkel (PWP) vertical mixing model (Price et al., 1986) has been adapted to provide vertical mixing in HYCOM. The PWP algorithm is executed at p grid points where thermodynamical variables are mixed. To perform these calculations, momentum components are horizontally interpolated to the p points. After the thermodynamical variables have been mixed at the p points, a special algorithm described below is executed to perform momentum mixing at the u, v grid points.
The first step is to apply the surface boundary conditions. Surface momentum fluxes are applied when the momentum equation is solved, with the surface fluxes acting to accelerate the water in model layer 1 only. When the PWP subroutine is called, the surface fluxes of heat and mass are distributed over model layer 1 except for penetrating shortwave radiation, which is distributed over multiple layers. If static instability is present near the ocean surface after applying the surface fluxes, it is relieved as follows: If model layer 2 is less dense that layer 1, the water in both layers is completely mixed. If the water in layer 3 is less dense than this mixed water, it is completely mixed with the water from layers 1 and 2. This process is repeated until a model layer is encountered that is denser than the mixed water above.
An initial diagnosis of mixed layer depth is performed next. Moving down from the surface, the mixed layer depth is set to the depth of the first interface across which the density jump exceeds a prescribed value. The mixed layer base always resides on a model interface in the PWP model. All model variables on p grid points, including the interpolated momentum components, are homogenized within the mixed layer.
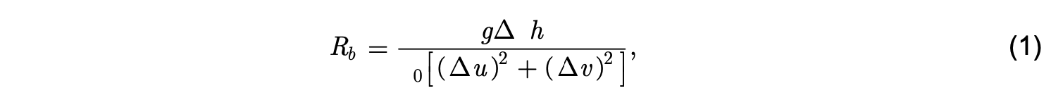
To perform bulk Richardson number mixing, this number is calculated using

where h is the diagnosed mixed layer thickness. Density and velocity differences are taken between the mixed layer and the model layer immediately below. If Rb < 0.65 , the mixed layer entrains the layer immediately below it and all variables are homogenized within the new mixed layer. The process in then repeated, with the mixed layer entraining additional layers, until Rb ≥ 30.65.
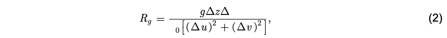
To perform gradient Richardson number mixing, this number is estimated using

and mixing is performed if Rg < 0.25 . At each interface, Δr, Δu, and Δv are estimated as the difference between the layer above and the layer below, while Δz is estimated as the average thickness of the layers above and below.
The following procedure is used to perform the shear instability mixing. The number Rg is estimated at all vertical interfaces between the one upon which the mixed layer base resides and the bottom. The interface with the smallest value of Rg is identified. If this value is less than 0.25, the layers above and below the interface are partially mixed so that the value of Rg is increased to 0.30. New values of Rg are calculated, and then the new interface with the smallest value of Rg is identified. If this value is less than 0.25, the two adjacent layers are partially mixed in the same manner. This process is repeated until the minimum value of Rg over all layers exceeds 0.25.
After this mixing process has been completed, the depth of the mixed layer base is again diagnosed as the depth of the first interface below the surface where the density jump exceeds a prescribed value. The final vertical homogenization is performed only for thermodynamical variables and other scalars that are stored at p grid points. After completing the mixing process at pressure grid points, the depth of the mixed layer base is horizontally interpolated to u and v grid points, and the velocity components are homogenized within the mixed layer. On both sets of grids, the model interface closest to the interpolated mixed layer depth is identified as the mixed layer base, and vertical homogenization is performed between the surface and the identified interface. Although the PWP algorithm provides for shear instability mixing beneath the surface mixed layer, it does not provide for background mixing due to other processes such as internal wave breaking. When the PWP model is selected, the hybrid explicit (MICOM-like) diapycnal-mixing algorithm is also activated to provide this additional mixing.
Price, J. F., R. A. Weller, and R. Pinkel, 1986: Diurnal cycling: Observations and models of the upper ocean response to diurnal heating, cooling, and wind mixing. J. Geophys. Res., 91, 8411-8427.
Documentation by George Halliwell
- HYCOM Overview
- Horizontal Advection Diffusion in HYCOM
- Boundary conditions in HYCOM
- Diapycnal Mixing Algorithms
- Synthetic Floats, Drifters, and Moorings in HYCOM
- The NASA Goddard Institute for Space Studies Level 2 Turbulence Closure
- Hybrid Coordinate Adjustment Algorithm
- Energy Loan Sea Ice Model
- KPP Vertical Mixing
- The Full Kraus Turner Mixed Layer Model for Hybrid Coordinates (KTA)
- The Simplified Kraus Turner Mixed Layer Model for Hybrid Coordinates (KTB)
- The Kraus-Turner Mixed Layer Model for Isopycnic Coordinates (KTC)
- HYCOM Mesh
- Momentum Equation and Pressure Gradient Force
- The Mellor-Yamada Level 2.5 Turbulence Closure Model
- The Price-Weller-Pinkel Dynamical Instability Vertical Mixing Algorithm
- Equation of State, Cabbeling, Thermobaricity
- Surface Fluxes in HYCOM
- Solution of the Vertical Diffusion Equation
- Diagnosis of Kinematic Vertical Velocity in HYCOM
Documentation by Alan Wallcraft
- HYCOM and Navy ESPC Future High Performance Computing Needs
- New Features of HYCOM 2015
- New Features of HYCOM 2013
- New Features of HYCOM 2011
- New Features of HYCOM 2009
- New Features of HYCOM (HYCOM 2.2)
- HYCOM Code Development (HYCOM 2.2) '05
- HYCOM Code Development (HYCOM 2.2) '04
- HYCOM Model Development (HYCOM 2.1.03)
- HYCOM Code Development (HYCOM 2.1.03)
- HYCOM Model 2.1 (HYCOM 2.1.03)
- HYCOM Model 2.0.01 (HYCOM 2.0.01)
- HYCOM Model Development (HYCOM 1.08)
Documentation by Users