-
Notifications
You must be signed in to change notification settings - Fork 2
Surface Fluxes in HYCOM
By George Halliwell, 25 August 2001
This note summarizes how surface fluxes are handled in HYCOM versions 1.0 and 2.0, focusing first on how the surface fluxes are input, then on the bulk formula parameterizations.
Surface fluxes of heat and mass, except for shortwave thermal radiation are absorbed in model layer 1, which is the full surface mixed layer when HYCOM is run in MICOM mode Shortwave radiation can penetrate to deeper layers, with the penetration depth depending on water clarity. The two-component (red and blue light) exponential decay model of Jerlov (1976) is used to calculate penetrating shortwave radiation in HYCOM. If HYCOM is run in MICOM mode, or if the simple Kraus-Turner mixed layer model 2 (see the HYCOM Kraus-Turner mixed layer model documentation) is used, all shortwave radiation is absorbed in the mixed layer. If the full Kraus-Turner mixed layer model 1 is used, penetrating shortwave radiation can be invoked as an option; otherwise, all shortwave radiation is absorbed in the mixed layer. Penetrating shortwave radiation is always used for KPP mixing and all non-slab mixed layer models that will be included in the future.
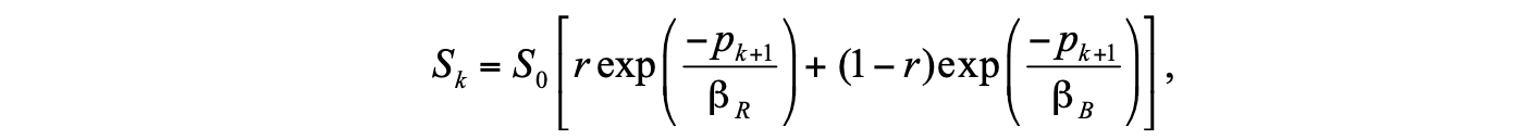
The depth of penetration is a function of water clarity, represented by the Jerlov water type. The water type is assigned integer values from 1 through 5, with 1 representing the clearest water. Given the incoming shortwave radiation flux S0 at the surface, the flux passing through model interface k located at pressure pk is

where r is the fraction of light that is red, βR is the penetration depth scale of red light, and βB is the penetration depth scale of blue light. The parameters for all five Jerlov water types are summarized in the following table:

Presently, Jerlov water type is specified by the user for each grid point at the beginning of the model run. In the future, water type could be determined by biological or suspended sediment models.
There are two choices for bulk parameterization of surface fluxes in HYCOM. The first is the standard constant bulk coefficients. The second is the sophisticated parameterization scheme of Kara et al. (2000) that has been extensively tested by researchers at the Naval Research Laboratory, and that was embedded in HYCOM by Alan Wallcraft of NRL. The user also has the option of relaxing nearsurface temperature or salinity to climatology.
Jerlov, N. G., 1976: Marine Optics. Elsevier, New York
Kara, A. B., P A. Rochford, and H. E. Hurlburt, 2000: Efficient and accurate bulk parameterizations of air-sea fluxes for use in general circulation models. J. Atmos. Ocean Tech., 17, 1421-1438.
Documentation by George Halliwell
- HYCOM Overview
- Horizontal Advection Diffusion in HYCOM
- Boundary conditions in HYCOM
- Diapycnal Mixing Algorithms
- Synthetic Floats, Drifters, and Moorings in HYCOM
- The NASA Goddard Institute for Space Studies Level 2 Turbulence Closure
- Hybrid Coordinate Adjustment Algorithm
- Energy Loan Sea Ice Model
- KPP Vertical Mixing
- The Full Kraus Turner Mixed Layer Model for Hybrid Coordinates (KTA)
- The Simplified Kraus Turner Mixed Layer Model for Hybrid Coordinates (KTB)
- The Kraus-Turner Mixed Layer Model for Isopycnic Coordinates (KTC)
- HYCOM Mesh
- Momentum Equation and Pressure Gradient Force
- The Mellor-Yamada Level 2.5 Turbulence Closure Model
- The Price-Weller-Pinkel Dynamical Instability Vertical Mixing Algorithm
- Equation of State, Cabbeling, Thermobaricity
- Surface Fluxes in HYCOM
- Solution of the Vertical Diffusion Equation
- Diagnosis of Kinematic Vertical Velocity in HYCOM
Documentation by Alan Wallcraft
- HYCOM and Navy ESPC Future High Performance Computing Needs
- New Features of HYCOM 2015
- New Features of HYCOM 2013
- New Features of HYCOM 2011
- New Features of HYCOM 2009
- New Features of HYCOM (HYCOM 2.2)
- HYCOM Code Development (HYCOM 2.2) '05
- HYCOM Code Development (HYCOM 2.2) '04
- HYCOM Model Development (HYCOM 2.1.03)
- HYCOM Code Development (HYCOM 2.1.03)
- HYCOM Model 2.1 (HYCOM 2.1.03)
- HYCOM Model 2.0.01 (HYCOM 2.0.01)
- HYCOM Model Development (HYCOM 1.08)
Documentation by Users