This repository contains a few AI srcipts that I wrote:
- ChatGPT + LangChain prompting
- Ukraine tweets, finding "expert tweets"
- Names generator, Generative AI within NLP
- Source code language recognition, based on a very short code sample
- RNN 2-layer, implemented with raw Python & NumPy, with derivatives calculation
- LSTM 2-layer, with no use of nn.LSTM PyTorch object
- CNN working with batch_size=1
I started to work on AI tasks in 2007 (yes, before the end of the AI Winter) and would like to develop in this area. This repository contains my full CV, but here are a few short words: I am a graduate of the Warsaw School of Economics, with 10+ years of work experience of a business analyst for a few corporations (Masterfoods, METRO Group, Whirlpool). I had also an episode of work as PHP programmer years ago; apart from that I only had professional experience in scarce scirpting of Microsoft tools or specialised applications. Still, I wrote code in PHP, C#, JAVA and Python, for my hobby projects. Over the last years, I worked in a family company Efneo.com, operating on a bicycle market. Currently, I develop my interest in AI / Machine Learning and would like to enter this area to gain prefessional experience and create my own AI company in the future.
I loaded a manual with a lot of graphics placed between or next to text paragraphs. LLM's job is to create descriptions to these graphics, although obviously it does not "look" at them, but only text around. I wrote a prompt that gave 18 good results out of 19 in total (only the first photo was described incorrectly). This is a very unique prompt, as it gives captions of object that LLM has never seen, in contrary to an Eiffel Tower or Statue of Liberty :-)
Manual includes graphics:
which where replaced by codes in a specific format:

I used the following LangChain prompt:
template = """
In a document you will find {num_of_codes} codes in a format graphic-code-xxx where xxx are three integers.
For example graphic-code-003.
Your aim is to make a brief summary of the text around the codes, especially in a paragraph just before the text.
You provide a reply in a format:
("graphic-code-001": "summary of the text around the code")
Document: {document}
"""
and received graphic captions as shown below (only the first description is wrong, but all other 18 are correct):

Finding "expert tweets" in an ocean of online communication, based on some guessed criteria:
- Maybe "expert" messages are longer?
- Or maybe they are use slightly different vocabulary?
- Or maybe "non-experts" abuse dirty words in their comments?
- Or maybe "experts" include more hashes or links in their messages?
- Or should we dig deeper into Natural Language Understanding tools, like contextual embeddings from the state-of-the-art transformer models like BERT?
Checking how randomness added to a neural network can enhance its creativity.
Classification of a very short code sample into categories: python, java, c#, etc.
RNN working even for longer fragments of text, with no use of PyTorch nn.RNN object, but only Python + NumPy. Sript is a modification of Andrey Karpathy code, by adding the 2. layer (thus making is capable of learning from much reacher text databases) and gradual decreasing learning rate. Script calculates derivatives and even implements Adagrad optmiser. Below you can find a sample of text generated after learning from 40 lines of Sheakspeare:
Second Citizen:
One word, good citizens.
First Citizen:
Let us kill him, and we'll have corn
omish?
SlfancoC
ouu kencekiss soke, shel aememis
This is the only import line in this script 😃
import numpy as np
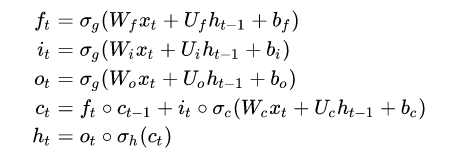
Script implements all the LSTM operations defined below:
Key code fragment:
ingate, forgetgate, cellgate, outgate = gates.chunk(4, 1)
ingate = torch.sigmoid(ingate)
forgetgate = torch.sigmoid(forgetgate)
cellgate = torch.tanh(cellgate)
outgate = torch.sigmoid(outgate)
cA = (forgetgate * cA) + (ingate * cellgate)
hA = outgate * torch.tanh(cA)
Network reaches TOP-1 Accuracy of 77% and TOP-5 Accuracy of 93%, without using Batch Normalisation. I had a reason to avoid using BN, as I needed batch_size=1. My application aimed at running subnetworks for various tasks, for example if initial detection was "an animal", a subnetwork "recognizeAnimals" would be used, but in case of initial detection of "a car", a subnetwork "recognizeCarModels" would be used. This concept requires using conditions depending on the initial results that triggered different paths through the network. Well, with a typical batch_size=32 I would not be albe to do it, as batch would have to be splat into different subnetworks... This is why I needed a method working with batch_size=1.
I used a solution described in here: https://arxiv.org/pdf/1903.10520.pdf / https://youtu.be/m3TN9FFmqsI To be more specific, an option of GN+WS (Group Normalization + Weight Standarization). Key code fragment:
class Conv2dWS(nn.Conv2d):
def __init__(self, in_channels=512, out_channels=512, kernel_size=(3, 3), stride=(1, 1),
padding=(1, 1), dilation=1, groups=1, bias=True):
super(Conv2dWS, self).__init__(in_channels, out_channels,
kernel_size, stride, padding, dilation, groups, bias)
def forward(self, x):
weight = self.weight
weight_mean = weight.mean(dim=1, keepdim=True).mean(dim=2, keepdim=True).mean(dim=3, keepdim=True)
weight = weight - weight_mean
std = weight.view(weight.size(0), -1).std(dim=1).view(-1, 1, 1, 1) + 1e-5
weight = weight / std.expand_as(weight)
return F.conv2d(x, weight, self.bias, self.stride, self.padding, self.dilation, self.groups)
CNN now includes layers of:
self.Conv2dWS()
self.GroupNorm()
instead of standard ones:
self.Conv2d()
self.BatchNorm()
