Note: this is made available mainly for reproducibility. Please have a look into the latest version.
You can download Matlab scripts that reproduce the results in our technical report "On the extension of trace norm to tensors" from this page.
- Download and extract.
- Also download the N-way toolbox (for comparison).
- Open Matlab and type
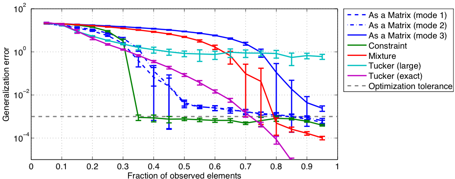
test_compare;to get Figure 1,
test_threshold;to get Figure 2.
You should get something like this
- Nathan Halko, Per-Gunnar Martinsson, and Joel Tropp, Finding structure with randomness: Stochastic algorithms for constructing approximate matrix decompositions, arXiv:0909.4061 [math.NA; math.PR], 2009 (available at http://arxiv.org). We have included the implementation by Mark Tygert http://cims.nyu.edu/~tygert/software.html
- Rasmus Bro & Claus A. Andersson, The N-way toolbox for MATLAB, Chemometrics & Intelligent Laboratory Systems, vol. 52, no. 1, pp. 1–4, 2000
