- Learn usage of basic python syntax, numpy and matplotlib
- Classify two hand digit images into 0 and 1.
- Classify multiple hand digit images of 0 and 1.
- testing accuracy at iteration 900 : 1.0000000000
- Logistic regression for multi-class classification.
- Classify multiple hand digit images of 0, 1, 2, 3 and 4.
- Use One-Hot Encoding.
- testing accuracy at iteration 900 : 0.9733333333
- Logistic regression for multi-class classification.
- Classify multiple hand digit images of 0 ~ 9.
- Use One-Hot Encoding.
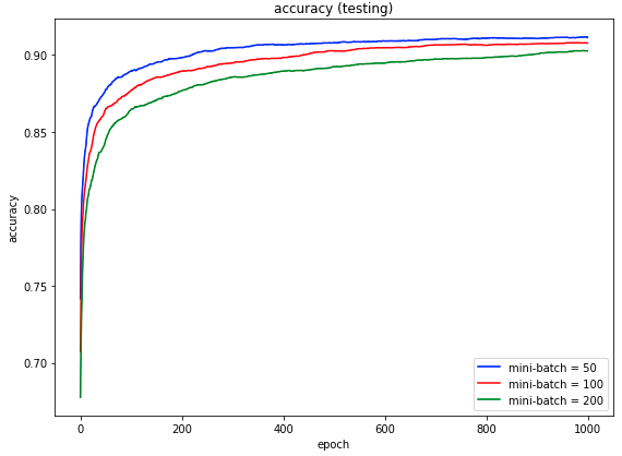
- testing accuracy (mean) at different mini-batch, weight-decay 0
- testing accuracy (mean) at different weight-decay, mini-batch0
- Multi-class classification based on Softmax and Cross-Entropy using pytorch.
- Classify multiple hand digit images of 0 ~ 9.
- Constructed a neural network using a series of convolutional layers.
- best testing (mean) accuracy within the last 10 epochs : 97.7875000000
- Denoise the noised images.
- Constructed a neural network in the form of auto-encoder that consists of encoder and decoder.
- best testing PSNR (mean) within the last 10 epochs = 25.1513428898
- Denoise the noised images.
- Constructed a neural network in the form of auto-encoder that consists of encoder and decoder.
- best testing PSNR (mean) within the last 10 epochs = 25.4595453543
- Get the clear boundaries of the cat images from the original.
- Constructed a neural network in the form of auto-encoder that consists of encoder and decoder.
- best testing accuracy within the last 10 epochs = 74.2580732318
- Get the clear boundaries of the sqaure images from the original noised sqaure images.
- Constructed a neural network in the form of auto-encoder that consists of encoder and decoder.
- best testing accuracy within the last 10 epochs = 97.8995329178
- De-blur the blurred images.
- Constructed a neural network in the form of auto-encoder that consists of encoder and decoder.
- best testing PSNR (mean) within the last 10 epochs = 24.1219267082
- Create square images by learning from square images.
- Constructed neural networks of a generator and a discriminator.
- best accuracy within the last 10 epochs = 96.0030833364
































