SketchDay 접속 링크를 통해서 저희의 서비스 이용이 가능합니다!!
2022.04.11 ~ 2022.05.10 AI 빅프로젝트
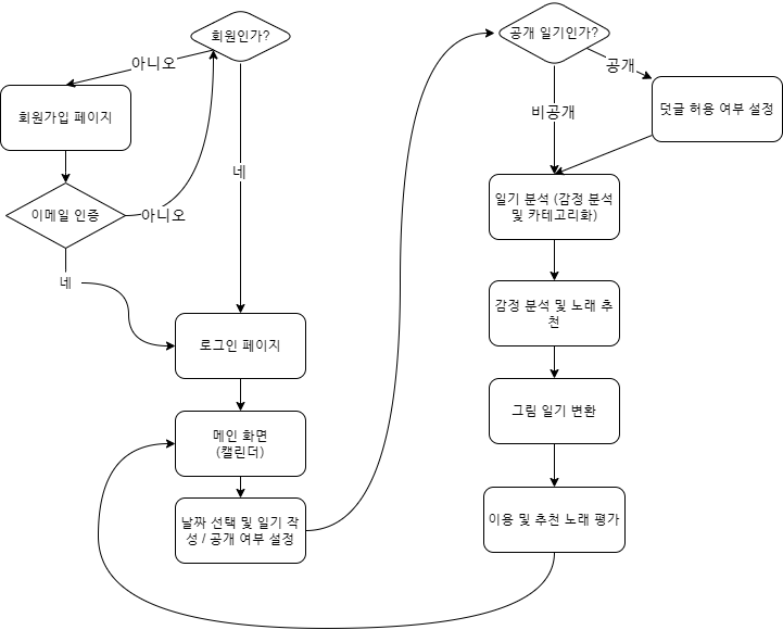
- 일기를 쓰면서 자신의 고민과 일상을 털어놓고 감정분석을 통해 내 감정 변화를 보여주고 내 일기와 비슷한 다른 사용자의 일기를 추천 받고 노래를 추천받아 듣고 AI를 통해 사용자가 쓴 일기를 그림으로 표현을 해 주면서 다른 사람들과 그림 일기를 공유하며 사용자의 추억을 저장하는 서비스 입니다.
김동현(팀장), 강민서, 김세진, 전성호, 황인원
- 시대가 급격하게 변해가면서 바쁘고 지친 하루를 보내고 있는 사람들이 늘어나고 있습니다. 또한 매년 우울증과 스트레스가 증가하고 있습니다. 그런 사용자들의 마음의 짐을 덜고 바빴던 일상이 추억이 될 수 있도록 서비스를 제공하고 싶었습니다. 추억을 남기면서 우울증과 스트레스를 해소할 수 있는 좋은 방법으로 일기가 떠올랐고 이미 서비스화 되어있는 단순한 일기보다는 특별한 요소가 있어 일기를 쓰는 재미와 우울증, 스트레스 해소에 더 도움을 줄 수 있는 컨텐츠를 생각했고, 작성 한 일기의 감정에 따라 음악을 듣고 그것을 그림일기 형태로 저장할 수 있다면 더 오래 추억에 남고 재미를 줄 수 있을 것 이라고 생각했습니다.
💡 즉, 일기 분석을 통한 사용자의 감정변화를 보여주고 내 일기와 비슷한 다른 사용자의 일기, 노래 추천 및 그림일기 생성 서비스를 통해 사용자들의 추억을 저장하고 특별한 소통 공간을 만들고자 했습니다.
- 타켓층
- 지친 일상생활에서 위로 받고 싶은 사람
- 하루를 기록하기를 원하는 사람
- 자신의 하루를 공유하기 원하는 사람
- 다른 사람의 일기를 공유 받고 싶은 사람
- 자신의 일기를 그림일기로 남기고 싶은 사람
- 주요 기능
- 작성된 일기를 분석하여 감정 및 주제를 추출하고 표현된 감정 및 주제에 알맞은 노래 추천 (노래 평가 가능)
- 내가 작성한 일기와 비슷한 다른 사용자 일기 추천
- 사용자가 작성 한 일기를 AI를 통해 요약해서 그림일기로 표현
- 작성된 일기 데이터를 통해 캘린더에 감정 이모티콘 표시 및 워드 클라우드 생성
토글 클릭하시면 이미지 확인이 가능합니다.
5. 구글 드라이브 클릭해서 압축파일(용량이 큰 모델 및 디폴트 이미지 파일) 다운로드 후 압축 해제
9. 각 환경에 맞는 redis-server 공식문서 링크에서 설치 후 실행
2761fe6a6008977e2d9b2cfcb8033dac0ae6b699









