Skip to content

IALSA/wave-inclusion

Repository files navigation

Wave Inclusion study

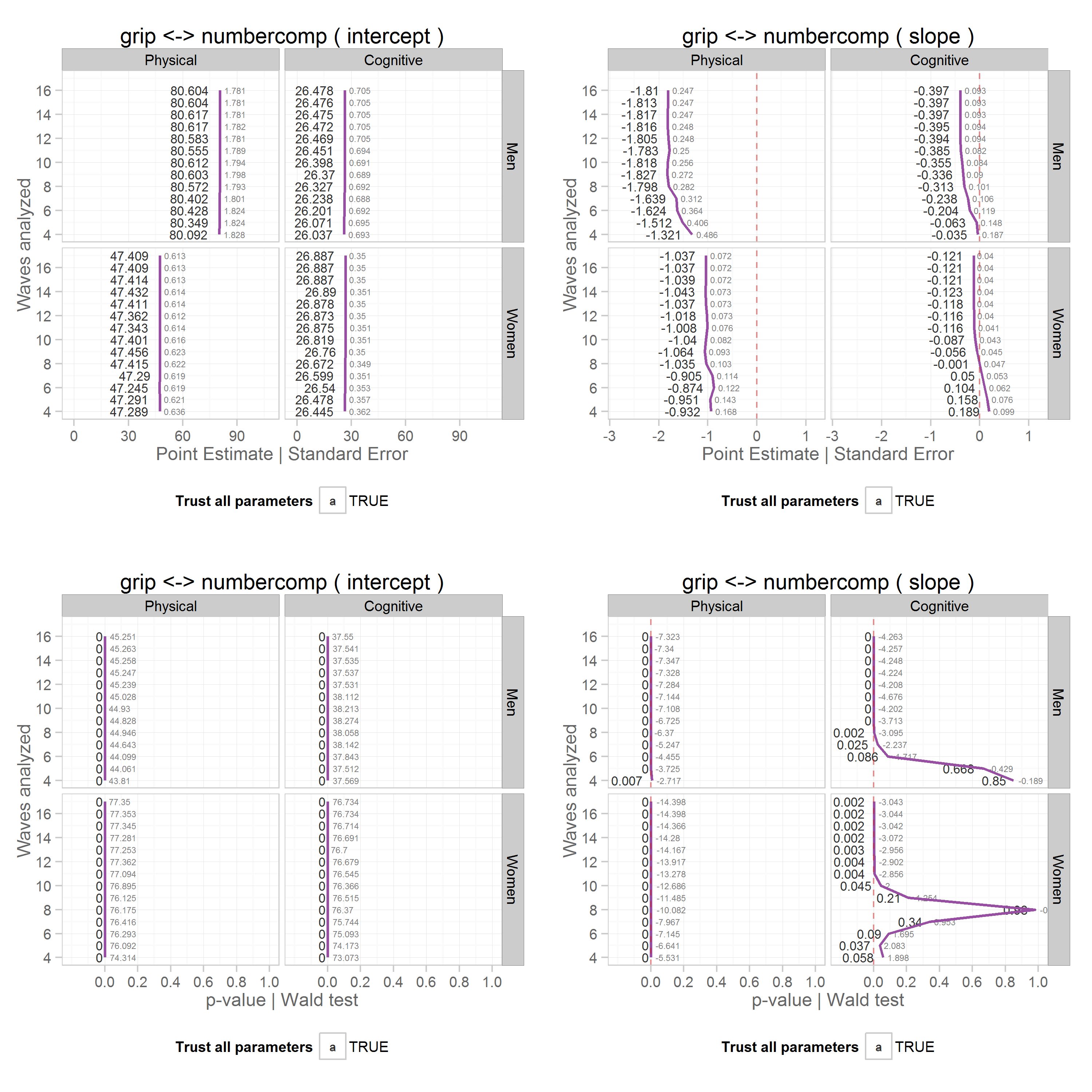
=== Does the number of waves selected for model estimation influence the properties of modelled trajectories? How? How much?

Quick links

profile waves

About

How does the number of waves included into the analysis affect the conclusions from a longitudinal study?

Resources

License

Stars

Watchers

Forks

Releases

No releases published

Packages

 
 
 

Contributors

Languages