本代码实现参考的是:
- 代码:C语言实现
- FLINT:数论快速库:https://flintlib.org/
实现BFV算法,先要用到FLINT这个快速数论库中的函数。
编译FLINT库,前提需要GMP、MPFR:
apt install libgmp-dev libmpfr-dev make autoconf libtool-bin
注意,这有个坑,安装的libgmp-dev、libmpfr-dev,版本号一般不是最新的,在编译时有问题
之后,执行:
git clone https://github.com/flintlib/flint.git && cd flint
./bootstrap.sh
./configure # ./configure --help for more options
make # make -j N,加速编译
make check # optional
make install # optional
make examples # optional
cd doc && make html && cd .. # optional: documentation
这里要注意,在执行./configure命令时,是会检察GMP、MPFR版本的,需要满足:
- GMP, at least version 6.2.1 (https://gmplib.org/))
- MPFR, at least version 4.1.0 (https://mpfr.org/))
建议手动安装,安装参考:
编译flint库:
cd ./3rdparty/flint
参考上述步骤编译
运行:
mkdir build
cd build
cmake ..
make
./bfv_test
参数设置如下:
double PI = 3.1415926;
int bit_num;
int sigma; // 离散高斯分布标准差
int B; //[-B, B] 近似离散高斯分布
int d; // 同态加密f=x^d + 1
int lamda; // 系统安全参数
int Max = 10000; // 以概率ro 输出x的方法:随机生成 【0, 10000】 之间的数z,如果z小于(小于等于)ro*10000则输出x,否则不输出
int delta; // 系统安全参数
int l;
fmpz_t q; // 大质数。n一般是2的次幂,q比t大很多,因此密文空间比明文空间大得多
fmpz_t neg_Delta;
fmpz_t t; // 明文空间,P=Rt=Zt[x]/(xn+1)
fmpz_t Delta_2;
fmpz_t Delta; // 缩放系数Δ=⌊q/t⌋
fmpz_t T;
// 可达到128bit安全
void System_Param()
{
sigma = 8;
B = 10 * sigma;
d = 8192; // 2^13 = 8192
bit_num = 128;
char *str1 = "100000000000000000000000000000000";
char *str2 = "8000";
// 密文空间
fmpz_set_str(q, str1, 16); // q = 34028236692093846346337460743176821145665536 = pow(2, 128)
// 明文空间
fmpz_set_str(t, str2, 16); // t = pow(2, 15)=32768
fmpz_cdiv_q(Delta, q, t); // 缩放系数Δ=⌊q/t⌋
fmpz_neg(neg_Delta, Delta); // neg_Delta = -1*Delta
fmpz_cdiv_q_ui(Delta_2, Delta, 2); // Delta_2 = Delta/2的商
// q平方根的整数部分
fmpz_sqrt(T, q); // pow(2, 64) = 18446744073709551616
l = fmpz_flog(q, T); // log_T(q),向下取整
}
BFV用到的随机分布主要有:
-
$R_2$ :密钥的采样分布,对整数系数为{-1,0,1}的多项式进行采样(系数是对模3环上的均匀采样:$Z_3$)。 -
$\chi$ :随机错误分布,定义为R上参数为μ和σ的离散高斯分布,以某个整数β为界。 根据当前版本的同态加密标准,$(\mu,\sigma,\beta)$ 被设定为$(0,\frac{8}{\sqrt{2\pi}} \approx 3.2,\lfloor 6\sigma\rceil =19)$。 -
$R_q$ :$R_q$上的均匀随机分布。
我们注意到,参数$(t,q,n)$的选择是针对具体应用的,也是由所需的安全级别驱动的。关于一组可接受的参数,参考同态加密标准ACC+18中的表1和表2。作为一个经验法则,只要感兴趣的目标应用仍然可以在FHE中实现,就应该选择最小化这些参数。
// D_{Z, \sigma}
long SampleZ(int seed)
{
long xx;
long z;
double ro;
long zz;
int b;
srand(time(NULL) + seed);
do
{
xx = rand() % B;
z = rand() % Max;
ro = exp(-(PI * xx * xx) / (sigma * sigma));
} while (!(z < ro * Max));
b = rand() % 2;
if (b == 0)
b = -1;
xx = xx * b;
return xx;
}
// 生成(近似)离散高斯分布
void SampleD(fmpz_poly_t v, int seed)
{
int i;
long x;
for (i = d - 1; i >= 0; i--)
{
x = SampleZ(i + seed);
fmpz_poly_set_coeff_si(v, i, x);
}
}
void Gen_R2(fmpz_poly_t v, int seed)
{
int i;
srand(time(NULL)+seed);
int b;
//d是f(x)=2^d+1的多项式最高次数,d=8192
for(i = d-1; i >= 0; i--)
{
b = rand()%2;
// 设置多项式v的第i个系数为b
fmpz_poly_set_coeff_ui(v, i, b);
}
}
这其实就生成了一个向量,这个向量的元素全是mod2的元素(即,0、1),向量元素的数量为d个:
8192 0 0 1 0 0 0 0 0 0 0 0 1 1 1 1 1 0 0 1 1 0 1 1 0 0 1 1 0 0 0 1 0 0 0 1 1 0 0 0 1 0 0 1 0 1 1 0 1 0 0 0 0 0 0 1 0 1 0 1 0 0 0 0 0 0 1 1 0 0 0 0 0 1 0 1 0 1 0 1 1 1 0 1 0 1 0 0 1 0 1 1 0 0 1 1 0 1 1 0 1 1 1 1 0 1 1 1 1 1 1 0 1 1 1 0 0 0 1 1 0 1 0 0 0 0 0 1 1 0 1 0 0 0 0 .....(未复制完整)
//这个的问题是好像没有小一点的数。。计算上应该效率要差一些,但是这个正常的吗?不是很清楚
void Gen_Rq(fmpz_poly_t v)
{
int i;
fmpz_t t;
fmpz_init(t);
for(i = d-1; i >= 0; i--)
{
Gen_Rq_div_2(t, i);
fmpz_poly_set_coeff_fmpz(v, i, t);
}
fmpz_clear(t);
}
私钥SK是 random ternary polynomial ,也就是系数取自$R_2=-1,0,1$的多项式 公钥PK是$R_q$上的多项式,由一对多项式构成:$(pk_1,pk_2)$,定义如下: $pk_1 = [-1(ask+e)]_q \pk_2=a$ 其中$a$是采样自$R_q$上的随机多项式,$e$是采样自$\chi$的随机多项式。符号$[]_q$表示多项式的系数运算以$q$为模数进行。总之,$a$定义$R_q$上,所有运算都定义在$Z_q$上面模$x^{n}+1$的多项式环。
void secret_key_Gen(fmpz_poly_t sk)
{
// 是环R2上的随机采样
Gen_R2(sk, 1);
}
示例:
8192 0 0 1 0 0 0 0 0 0 0 0 1 1 1 1 1 0 0 1 1 0 1 1 0 0 1 1 0 0 0 1 0 0 0 1 1 0 0 0 1 0 0 1 0 1 1 0 1 0 0 0 0 0 0 1 0 1 0 1 0 0 0 0 0 0 1 1 0 0 0 0 0 1 0 1 0 1 0 1 1 1 0 1 0 1 0 0 1 0 1 1 0 0 1 1 0 1 1 0 1 1 1 1 0 1 1 1 1 1 1 0 1 1 1 0 0 0 1 1 0 1 0 0 0 0 0 1 1 0 1 0 0 0 0 .....(未复制完整)
$pk = ([-1(a*s+e)]q ,a) \ a \in R_q \ s \in R_2, \ e \in D{Z, sigma}^d$
void public_key_Gen(fmpz_poly_t sk, fmpz_poly_t pk_p0, fmpz_poly_t pk_p1)
{
//pk = ( [-(as+e)]_q, a ), a \in R_q, s \in R_2, e \in D_{Z, sigma}^d
fmpz_poly_t e;
fmpz_poly_t temp;
fmpz_poly_init(e);
fmpz_poly_init(temp);
SampleD(e, 1);
Gen_Rq(pk_p1);
// 组装pk_0
fmpz_poly_mul(temp, pk_p1, sk);
fmpz_poly_add(temp, temp, e);
fmpz_poly_neg(temp, temp);
fmpz_poly_scalar_smod_fmpz(temp, temp, q);
fmpz_poly_set(pk_p0, temp);
// 释放内存
fmpz_poly_clear(e);
fmpz_poly_clear(temp);
}
示例:
8190 0 -2 -3 -3 -3 0 -3 4 -6 -3 -2 -3 2 0 -2 4 -1 0 -5 -4 8 4 3 -3 4 0 4 -4 -55 2 -1 -1 -2 2 -1 0 3 2 1 4 0 1 0 3 4 -3 -3 1 -1 -1 -2 4 0 -1 3 2 3 -1 6 3 3 5 0 3 0 0 3 -9 5 -6 0 2 -4 -6 -3 6 1 -7 1 8 1 -2 3 4 -3 -4 -9 7 -4 -3 2 0 3 0 -1 -3 -1 1 -8 0 2 0 1 0 -1 -1 3 0 -2 0 0 .....(未复制完整)
8192 331905331559733804788244285082160240614100570385 140726478588109206723772005670782302828333052780 116663651631441389138552166755723762482 557223223557859865266956471441997142347961049645 408941017818115482178463533869370999477989941820 692360840059540263887314725256864820967851430645 678825885773799997450126381292932404035605420125 16061572095990657007193197201424984870 150554311454088984370955373134374760244 411225095710460614734641857633717172445930322830 ......(未复制完整)
16381 122275889201066093381561088779706035951 -162855716776770439475870868991654966122 -116663651631441389138552166755723762479 136751941251596197146633621250051956182 -102915467278864585329392502653362910026 112068363621243104302107430545745422478 129638428626974672224960143523720730888 4026717524164151000888257292903208823 101288640238514997528099264114376461417 -55755616027844001104061583667385352653 -147562599255700303064831326736931931392 -45997335501148544878337680634815429276 123526117531181688713023245517536035053 -44168451372754308119595817539390145500 125391326064984976877394473246691694475 124034159554476870194663062681714806148 3867239891109191601365773419 161666692549471964981334013151454485893 107501733670582311828028052710938080802 -118326415704824479831479160758222979438 108514839532980705334575306007683531981 -8129619004875019130244412094779815932 ......(未复制完整)
这里需要弄清楚一个问题: 为什么pk_1的长度是16381?是因为 8192+8190-1 吗?这样是不是说明那个加号是拼接的意思?
void Encode(int m, fmpz_poly_t pm)
{
int sgn;
if(m < 0) sgn = -1;
else sgn = 1;
int num;
m = abs(m);
double bitnum = log2(m);
int i;
int bit;
if(bitnum == (int)bitnum) num = (int)bitnum + 1;
else num = (int)bitnum + 1;
for(i = 0; i < num; i++)
{
bit = m % 2;
fmpz_poly_set_coeff_ui(pm, i, bit);
m = m/2;
}
fmpz_poly_scalar_mul_si(pm, pm, sgn);
}
void SH_Encrypt(fmpz_poly_t m, fmpz_poly_t pk_p0, fmpz_poly_t pk_p1, fmpz_poly_t c0, fmpz_poly_t c1)
{
fmpz_poly_t u;
fmpz_poly_t e1;
fmpz_poly_t e2;
fmpz_poly_t temp;
fmpz_poly_t temp1;
fmpz_poly_init(u);
fmpz_poly_init(e1);
fmpz_poly_init(e2);
fmpz_poly_init(temp);
fmpz_poly_init(temp1);
// u是环R2上的采样
Gen_R2(u, 2);
// e1、e2是高斯分布采样
SampleD(e1, 2);
SampleD(e2, 3);
fmpz_poly_mul(temp, pk_p0, u);
fmpz_poly_add(temp, temp, e1);
fmpz_poly_scalar_mul_fmpz(temp1, m, Delta);
fmpz_poly_add(temp, temp, temp1);
fmpz_poly_scalar_smod_fmpz(temp, temp, q);
fmpz_poly_set(c0, temp);
fmpz_poly_mul(temp, pk_p1, u);
fmpz_poly_add(temp, temp, e2);
fmpz_poly_scalar_smod_fmpz(c1, temp, q);
fmpz_poly_clear(u);
fmpz_poly_clear(e1);
fmpz_poly_clear(e2);
fmpz_poly_clear(temp);
fmpz_poly_clear(temp1);
}
void SH_Decrypt(fmpz_poly_t sk, fmpz_poly_t c0, fmpz_poly_t c1)
{
fmpz_poly_t temp;
fmpz_poly_init(temp);
fmpz_poly_mul(temp, c1, sk);
fmpz_poly_add(temp, temp, c0);
fmpz_poly_scalar_smod_fmpz(temp, temp, q);
fmpz_poly_nearest_fmpz(temp);
fmpz_poly_scalar_smod_fmpz(temp, temp, t);
printf("\ntemp*t/q is \n");
fmpz_poly_print(temp);
fmpz_poly_clear(temp);
}
//c0 = (c_00, c_01), c1 = (c_10, c_11), c = c0+c1
void SH_Add(fmpz_poly_t c_00, fmpz_poly_t c_01, fmpz_poly_t c_10, fmpz_poly_t c_11, fmpz_poly_t c0, fmpz_poly_t c1)
{
fmpz_poly_t temp;
fmpz_poly_init(temp);
fmpz_poly_add(temp, c_00, c_10);
fmpz_poly_scalar_smod_fmpz(c0, temp, q);
fmpz_poly_add(temp, c_01, c_11);
fmpz_poly_scalar_smod_fmpz(c1, temp, q);
fmpz_poly_clear(temp);
}
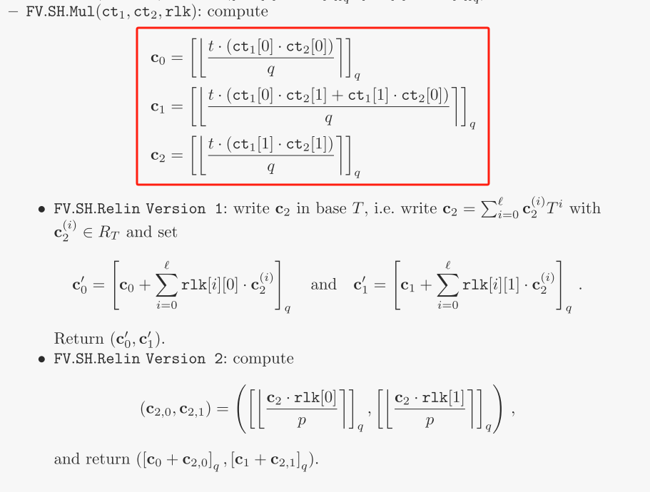
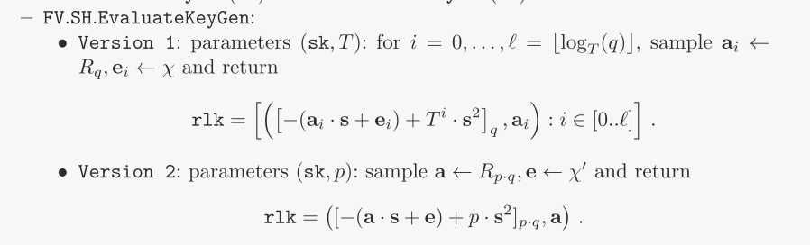
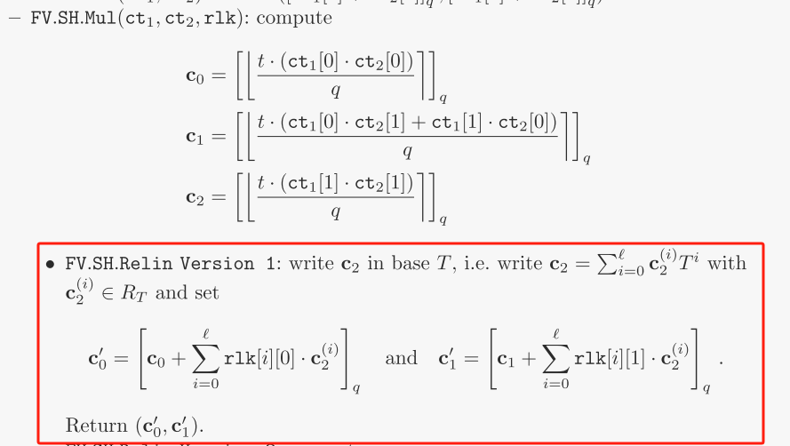
同态乘法进行多次后会使得计算复杂度、密文冗余快速增大,也就是有限次数的同态加密。为了做到全同态加密,BFV方案给出了一个安全并且有效的解决方案:利用额外的评估密钥
rlk进行Relinearization,既可以降维度,又可以减少误差的累积,从而达到全同态加密的效果。
发现有一个共同的计算:$[\lfloor\frac{t(*)}{q}\rceil]_q$,因此,将这个计算剥离出来:
void fmpz_poly_nearest_fmpz(fmpz_poly_t v)
{
long deg = fmpz_poly_degree(v); // 多项式v的度,即,最高次项的次数
int i;
fmpz_t temp;
fmpz_t temp1;
fmpz_init(temp);
fmpz_init(temp1);
for(i = 0; i <= deg; i++)
{
//设置temp等于v的第i个系数
fmpz_poly_get_coeff_fmpz(temp, v, i);
// 绝对值
fmpz_abs(temp1, temp);
// temp1=temp1/Delta,四舍五入方法为fdiv
fmpz_fdiv_r(temp1, temp1, Delta);
if(fmpz_equal(temp, Delta) == 1) {fmpz_set_ui(temp, 1);}
else if(fmpz_equal(temp, neg_Delta) == 1) {fmpz_set_si(temp, -1);}
else if(fmpz_is_zero(temp) == 1) {fmpz_set_ui(temp, 0);}
// 对元素取模q,即,mod q
else if(fmpz_sgn(temp) == -1 && fmpz_cmp(temp1, Delta_2) > 0) {fmpz_fdiv_q(temp, temp, Delta);}
else if(fmpz_sgn(temp) == -1 && fmpz_cmp(temp1, Delta_2) <= 0) {fmpz_cdiv_q(temp, temp, Delta);}
else if(fmpz_sgn(temp) == 1 && fmpz_cmp(temp1, Delta_2) >= 0) {fmpz_cdiv_q(temp, temp, Delta);}
else{fmpz_fdiv_q(temp, temp, Delta);}
fmpz_poly_set_coeff_fmpz(v, i, temp);
}
fmpz_clear(temp);
fmpz_clear(temp1);
}
之后,两数相乘,会从二维变成三维:
void SH_Mul(fmpz_poly_t c_00, fmpz_poly_t c_01, fmpz_poly_t c_10, fmpz_poly_t c_11, fmpz_poly_t c0, fmpz_poly_t c1, fmpz_poly_t c2)
{
fmpz_poly_t temp1;
fmpz_poly_t temp2;
fmpz_poly_init(temp1);
fmpz_poly_init(temp2);
fmpz_poly_mul(c0, c_00, c_10);
fmpz_poly_nearest_fmpz(c0);
fmpz_poly_mul(temp1, c_00, c_11);
fmpz_poly_mul(temp2, c_01, c_10);
fmpz_poly_add(c1, temp1, temp2);
fmpz_poly_nearest_fmpz(c1);
fmpz_poly_mul(c2, c_01, c_11);
fmpz_poly_nearest_fmpz(c2);
fmpz_poly_clear(temp1);
fmpz_poly_clear(temp2);
}
对乘法后的结果进行解密,获得解密后的数据:
void SH_DecMul(fmpz_poly_t sk, fmpz_poly_t c0, fmpz_poly_t c1, fmpz_poly_t c2)
{
fmpz_poly_t temp;
fmpz_poly_t temp2;
fmpz_poly_init(temp);
fmpz_poly_init(temp2);
fmpz_poly_mul(temp, c1, sk);
fmpz_poly_mul(temp2, c2, sk);
fmpz_poly_mul(temp2, temp2, sk);
fmpz_poly_add(temp,c0, temp);
fmpz_poly_add(temp, temp, temp2);
fmpz_poly_scalar_smod_fmpz(temp, temp, q);
fmpz_poly_nearest_fmpz(temp);
fmpz_poly_scalar_smod_fmpz(temp, temp, t);
fmpz_poly_clear(temp);
fmpz_poly_clear(temp2);
}
void ReKey_Gen(fmpz_poly_t sk, fmpz_poly_t* rlk_r0, fmpz_poly_t* rlk_r1)
{
fmpz_poly_t e;
int i;
fmpz_poly_t temp1;
fmpz_t temp2;
fmpz_poly_t temp3;
fmpz_poly_init(e);
fmpz_poly_init(temp1);
fmpz_init(temp2);
fmpz_poly_init(temp3);
for(i = 0; i < l; i++)
{
Gen_Rq(rlk_r1[i]);
SampleD(e, i+9);
fmpz_poly_mul(temp1, rlk_r1[i], sk);
fmpz_poly_add(temp1, temp1, e);
fmpz_poly_neg(temp1, temp1);
fmpz_pow_ui(temp2, T, i);
fmpz_poly_mul(temp3, sk, sk);
fmpz_poly_scalar_mul_fmpz(temp3, temp3, temp2);
fmpz_poly_add(temp1, temp1, temp3);
fmpz_poly_scalar_smod_fmpz(rlk_r0[i], temp1, q);
}
fmpz_poly_clear(temp1);
fmpz_clear(temp2);
fmpz_poly_clear(temp3);
fmpz_poly_clear(e);
}
void Relinear(fmpz_poly_t* rlk_r0, fmpz_poly_t* rlk_r1, fmpz_poly_t c0, fmpz_poly_t c1, fmpz_poly_t c2, fmpz_poly_t _c0, fmpz_poly_t _c1)
{
int i;
int deg = fmpz_poly_degree(c2);
fmpz_poly_t *c2_i;
c2_i = (fmpz_poly_t *)malloc(sizeof(fmpz_poly_t)*l);
fmpz_t temp;
fmpz_t temp1;
fmpz_poly_t temp2;
fmpz_poly_t temp3;
for(i = 0; i < l; i++)
fmpz_poly_init(c2_i[i]);
fmpz_init(temp);
fmpz_init(temp1);
fmpz_poly_init(temp2);
fmpz_poly_init(temp3);
for(i = 0; i <= deg; i++)
{
fmpz_poly_get_coeff_fmpz(temp, c2, i);
fmpz_abs(temp1, temp);
if(fmpz_cmp(temp1, T) < 0)
fmpz_poly_set_coeff_fmpz(c2_i[0], i, temp);
else
{
fmpz_fdiv_qr(temp, temp1, temp, T);
fmpz_poly_set_coeff_fmpz(c2_i[0], i, temp1);
fmpz_poly_set_coeff_fmpz(c2_i[1], i, temp);
}
}
fmpz_poly_mul(temp2, rlk_r0[0], c2_i[0]);
fmpz_poly_mul(temp3, rlk_r0[1], c2_i[1]);
fmpz_poly_add(temp2, temp2, temp3);
fmpz_poly_add(temp2, temp2, c0);
fmpz_poly_scalar_smod_fmpz(_c0, temp2, q);
fmpz_poly_mul(temp2, rlk_r1[0], c2_i[0]);
fmpz_poly_mul(temp3, rlk_r1[1], c2_i[1]);
fmpz_poly_add(temp2, temp2, temp3);
fmpz_poly_add(temp2, temp2, c1);
fmpz_poly_scalar_smod_fmpz(_c1, temp2, q);
for(i = 0; i < l; i++)
fmpz_poly_clear(c2_i[i]);
fmpz_clear(temp);
fmpz_clear(temp1);
fmpz_poly_clear(temp2);
fmpz_poly_clear(temp3);
}






