This is a simple android library with a demo app to detect device's free falling using accelerometer sensor, it also uses a database to manage history of these events.
This library is built using, it uses foreground service in order to receive events when the app is not in use by the user, it also enables you to:
- to notify user when free falling event occures
- It also shares real time updates to the app using local broadcast receiver, on event occurs
- It stores event data in a local sqlite database to manage history of these events
Following are the steps to install this library in an existing project ,
- Download/clone this repository at
Path/To/The/Lib/ - In your
settings.gradle, add the following lines,
project(':free-fall-detector').projectDir = new File('Path/To/The/Lib/library')
- And then add this in your app level build.gradle inside dependencies section,
implementation project(":free-fall-detector")
Thats it, enjoy!
You need to add following piece of code in AndroidManifest.xml to register the foreground service first,
<service android:name="io.xbird.library.service.MotionDetectService" android:enabled="true" android:exported="false"></service>
In order to start service programmitically, you can use the default startService methods offer by android sdk, an example of it is mentioned below,
Intent(this, MotionDetectService::class.java).also {
it.action = Actions.START.name
if (Build.VERSION.SDK_INT >= Build.VERSION_CODES.O) {
startForegroundService(it)
return
}
startService(it)
}
Fetching history of older records can be done from a single line of code which mentioned below,
val readings = AppDatabase.getAppDataBase(applicationContext)
.freeFallReadingDao()?.getLatestReadings()
NOTE: The above code will executes a database call, so it should be handled from a background thread
In order to get realtime updates on event triggers, you need to register a local broadcast receiver within your app like mentioned below,
private val broadcastReceiver = object : BroadcastReceiver() {
override fun onReceive(context: Context?, intent: Intent?) {
viewModel?.updateReadings()
}
}
Then, use it from your activity/fragment's onCreate method like,
//handle receiver
val localBroadcastManager = LocalBroadcastManager.getInstance(this)
localBroadcastManager.registerReceiver(
broadcastReceiver,
IntentFilter(MotionDetectService.ACTION_NEW_FALL_DETECTED)
)
Initially, when I received this code challenge (requirements), first two things which comes in my mind were accelerometre and foreground service. Laterly, after digging more into the requirements, I decided Room API (wrapper over SQLite database) to save/fetch data with RxAndroid.
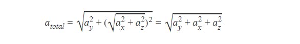
Moreover on the calculations side, I made some analysis and from those analysis, I have found following results,
acceleration about all 3 axes drops close to zero during free fall. Magnitude of total acceleration is given by

Hence, if acceleration about all the 3 axes are closer to zero than the total acceleration would also be closer to zero. It is the idea behind detecting the free fall. At the end, I have add threshold ranges to find the acceleration.
ArsalImam