- 각각의 그래프의 차이점을 알고 실제 사용방법
- 인접 리스트를 사용해서 그래프를 구현
- BFS와 DFS를 사용해 그래프 탐색
- 그래프 탐색 알고리즘의 비교
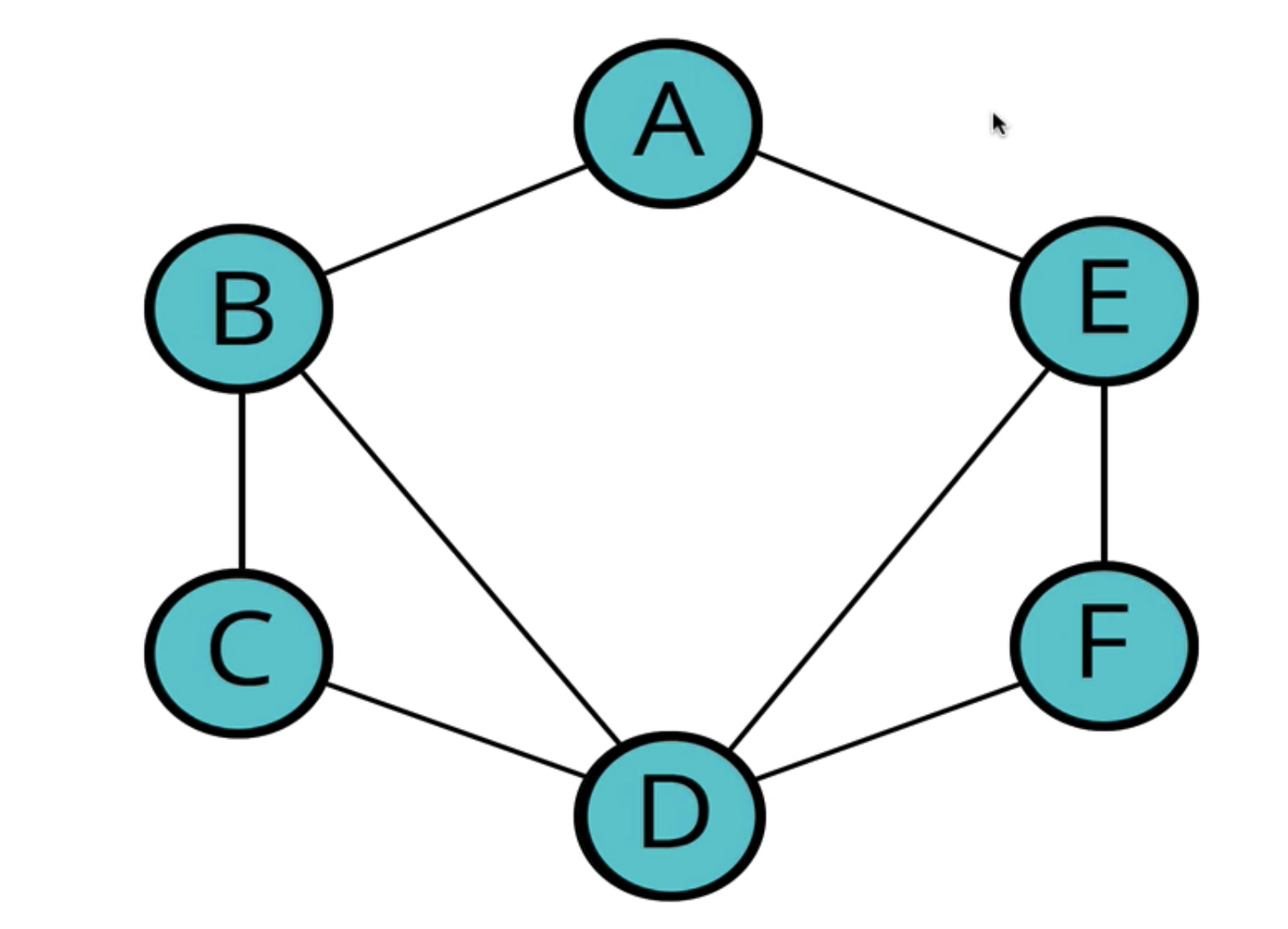
Nodes + Connections
- 소셜 네트워크
- 위치 / 매핑
- 라우팅 알고리즘
- 시각적 계층구조
- 파일 시스템 최적화
- Vertex(꼭지점) : node
- Edge : 노드 사이의 연결
- Weighted/Unweighted : 정점 사이의 거리에 정해진 값
- Directed/Undirected : 정점 사이의 거리에 정해진 방향
- 트리는 한 노드에서 다른 노드로 가는 길이 하나다.
- 그래프는 한 노드에서 다른 노드로 가는 길이 여러개일 수 도 있다.
- 노드 간의 연결에 방향이 없다.
- 노드 간의 연결에 방향이 있다.
- 노드간의 연결에 관련된 값이 있다면 Weighted graph
- 노드간의 연결에 값이 없다면 Unweighted graph
- 그래프를 행열로 나타내는 방법입니다.
- 그래프를 리스트로 나타내는 방법입니다.








