Skip to content

Latest commit

 

History

History
12 lines (9 loc) · 550 Bytes

File metadata and controls

12 lines (9 loc) · 550 Bytes

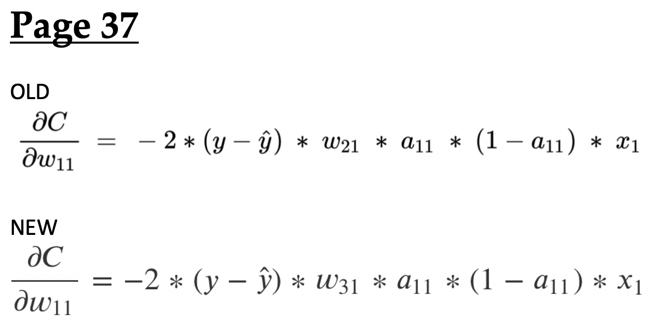
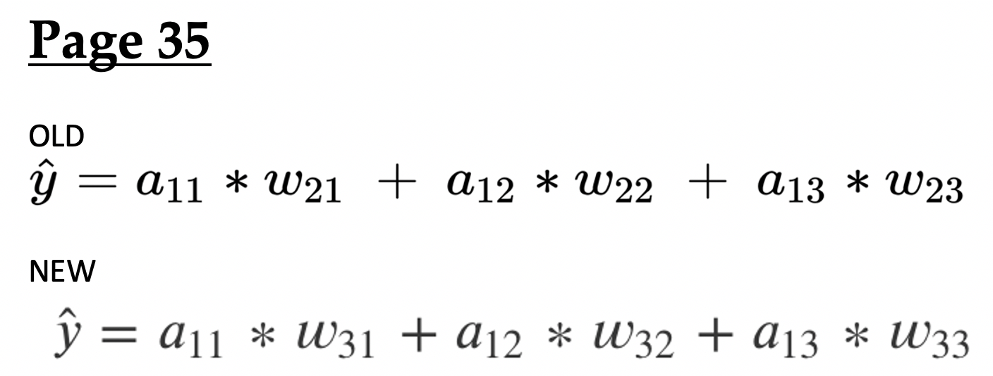
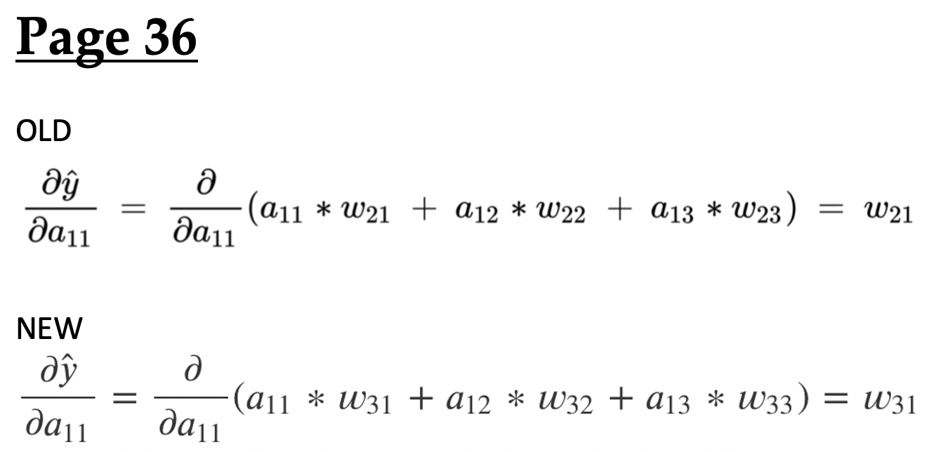
Errata

Due to notation mismatches, some of the formulae were printed erroneously in the book
Here are the page wise correction.

OLD implies old erroneous text that is in the print
NEW implies the corresponding correction