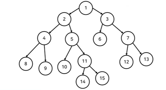
- BOJ 'LCA'문제 : https://www.acmicpc.net/problem/11437
- N(2 <= N <= 50000)개의 정점으로 이루어진 트리가 주어진다. 트리의 각 정점은 1번부터 N번까지 번호가 매겨져 있으며, 루트는 1번이다. 두 노드의 쌍 M(1 <= M <= 10000)개가 주어졌을 때, 두 노드의 가장 가까운 공통 조상이 몇 번인지 출력한다
-
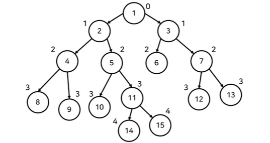
최소 공통 조상 찾기 알고리즘은 다음과 같다
- 모든 노드에 대한 깊이(depth)를 계산한다
- 최소 공통 조상을 찾을 두 노드를 확인한다
- 먼저 두 노드의 깊이(depth)가 동일하도록 거슬러 올라간다
- 이후에 부모가 같아질 때까지 반복적으로 두 노드의 부모 방향으로 거슬러 올라간다
- 모든 LCA(a,b) 연산에 대하여 2번의 과정을 반복한다
-
먼저 두 노드의 깊이를 맞춘 후 거슬러 올라간다
import sys
sys.setrecursionlimit(int(1e5)) # 런타임 오류를 피하기
n = int(input())
parent = [0] * (n+1) # 부모 노드 정보
d = [0] * (n+1) # 각 노드까지의 깊이
c = [0] * (n+1) # 각 노드의 깊이가 계산되었는지 여부
graph = [[] for _ in range(n+1)] # 그래프(graph) 정보
for _ in range(n-1):
a,b = map(int, input().split())
graph[a].append(b)
graph[b].append(a)
# 루트 노드부터 시작하여 깊이(depth)를 구하는 함수
def dfs(x, depth):
c[x] = True
d[x] = depth
for y in graph[x]:
if c[y]: # 이미 깊이를 구했다면 넘기기
continue
parent[y] = x
dfs(y, depth + 1)
# A와 B의 최소 공통 조상을 찾는 함수
def lca(a, b):
# 먼저 깊이가 동일하도록
while d[a] != d[b]:
if d[b] > d[b]:
a = parent[a]
else:
b = parent[b]
# 노드가 같아지도록
while a != b:
a = parent[a]
b = parent[b]
return a
dfs(1, 0) # 루트 노드는 1번 노드
m = int(input())
for i in range(m):
a,b = map(int, input().split())
print(lca(a,b))
- 매 쿼리마다 부모 방향으로 거슬러 올라가기 위해 최악의 경우 O(N)의 시간 복잡도가 요구된다
- 따라서 모든 쿼리를 처리할 때의 시간 복잡도는 O(NM)이다
- BOJ 'LCA 2'문제 : https://www.acmicpc.net/problem/11438
- N(2 <= N <= 100000)개의 정점으로 이루어진 트리가 주어진다. 트리의 각 정점은 1번부터 N번까지 번호가 매겨져 있으며, 루트는 1번이다. 두 노드의 쌍 M(1 <= M <= 100000)개가 주어졌을 때, 두 노드의 가장 가까운 공통 조상이 몇 번인지 출력한다
-
각 노드가 거슬러 올라가는 속도를 빠르게 만드는 방법에 대해 고민해 보자
- 만약 총 15칸 거슬러 올라가야 한다면?
- 8칸 -> 4칸 -> 2칸 -> 1칸
- 만약 총 15칸 거슬러 올라가야 한다면?
-
2의 제곱 형태로 거슬러 올라가도록 하면 O(logN)의 시간 복잡도를 보장할 수 있다
-
메모리를 조금 더 사용하여 각 노드에 대해 2i번째 부모에 대한 정보를 기록하자
-
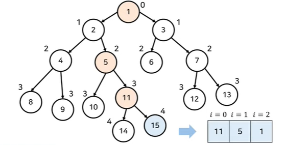
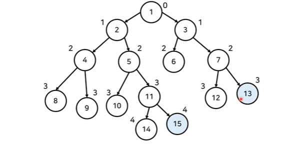
LCA(13번 노드, 15번 노드)
- 다이나믹 프로그래밍을 이용해 시간 복잡도를 개선할 수 있다
- 세그먼트 트리를 이용하는 방법도 존재한다
- 매 쿼리마다 부모를 거슬러 올라가기 위하 O(logN)의 복잡도가 필요하다
- 따라서 모든 쿼리를 처리할 때의 시간 복잡도는 O(MlogN)이다
import sys
input = sys.stdin.readline # 시간 초과를 피하기 위한 빠른 입력 함수
sys.setrecursionlimit(int(1e5)) # 런타임 오류를 피하기 위한 재귀 깊이 제한 설정
LOG = 21 # 2^21 = 1000000
n = int(input())
parent = [[0] * LOG for _ in range(n+1)] # 부모 노드 정보
d = [0] * (n+1) # 각 노드까지의 깊이
c = [0] * (n+1) # 각 노드의 깊이가 계산되었는지 여부
graph = [[] for _ in range(n+1)] # 그래프(graph) 정보
for _ in range(n-1):
a,b = map(int, input().split())
graph[a].append(b)
graph[b].append(a)
# 루트 노드부터 시작하여 깊이(depth)를 구하는 함수
def dfs(x, depth):
c[x] = True
d[x] = depth
for y in graph[x]:
if c[y]: # 이미 깊이를 구했다면 넘기기
continue
parent[y][0] = x
dfs(y, depth + 1)
# 전체 부모 관계를 설정하는 함수
def set_parent():
dfs(1,0) # 루트 노드는 1번 노드
for i in range(1, LOG):
for j in range(1, n+1):
parent[j][1] = parent[parent[j][i-1]][i-1]
# A와 B의 최소 공통 조상을 찾는 함수
def lca(a,b):
# b가 더 깊도록 설정
if d[a] > d[b]:
a, b = b, a
# 먼저 깊이(depth)가 동일하도록
for i in range(LOG - 1, -1, -1):
if d[b] - d[a] >= (1 << i):
b = parent[b][i]
# 부모가 같아지도록
if a == b:
return a
for i in range(LOG - 1, -1, -1):
# 조상을 향해 거슬러 올라가기
if parent[a][i] != parent[b][i]:
a = parent[a][i]
b = parent[b][i]
# 이후에 부모가 찾고자 하는 조상
return parent[a][0]
set_parent()
m = int(input())
for i in range(m):
a,b = map(int, input().split())
print(lca(a,b))



