-
Notifications
You must be signed in to change notification settings - Fork 10
Open
Description
Hi and thank you for this package!
MFGs have gotten a lot of attention in economics recently.
Would it be possible to provide a simple example of how to use your package to solve a simple economics example?
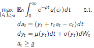
In this models households are ex-ante homogeneous.
Households are ex-post heterogeneous in wealth "a" & income "y".
Households solve:
where 
Ben Moll solves this in Matlab:

Would it be possible provide an example of how to solve this with your Julia package?
Reactions are currently unavailable
Metadata
Metadata
Assignees
Labels
No labels


